ニューホライズンズは、2006年1月19日にNASAが打ち上げた、冥王星や太陽系外縁天体探査を行う人類初の無人探査機である。
03/30 21:15
OneWeb は 21 日、SpaceX との合意によりブロードバンド衛星の打ち上げを再開し、衛星コンステレーション完成の見通しが立ったと発表した。
03/24 16:16
小惑星アポフィスは2004年に発見され、地球に衝突する可能性がある潜在的に危険な小惑星(PHA: Potentially Hazardous Asteroid)に分類されている。
03/23 08:32
NASA は 15 日、先日火星で 21 回目の飛行に成功したヘリコプター Ingenuity の飛行運用を 9 月まで延長すると発表した。
03/20 07:48
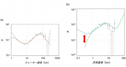
月や地球には、小惑星の衝突でできたクレーターが多数存在する。そのクレーターに関して、直径サイズごとに度数分布を作成し、これまでに衝突した直径1km以上の小惑星のサイズ分布を推定する。
03/16 11:23
2021年12月25日に打ち上げられたジェームス・ウェッブ宇宙望遠鏡が、近赤外線カメラ(NIRCam)を主鏡の位置合わせを行う第一段階の作業を終えようとしている。
02/21 17:28
これまで宇宙生物学においては、地球外生命探索のために、宇宙において生命の材料となる元素や分子の存在を徹底的に調査してきた。
02/18 11:28
昨年11月に4回目にして初の軌道投入に成功したことが報じられたばかりの米小型ロケットベンチャーのAstra社だが、2月10日に行われたRocket3.3の初の商業打ち上げにおいて再び打ち上げに失敗してしまったようだ。
02/17 12:04
SpaceX が 3 万基の Starlink 衛星打ち上げを計画する Starlink 第2世代 (Gen 2) について、NASA がミッションへの影響を懸念する書簡を米連邦通信委員会 (FCC) に送っている。
02/14 11:56
SpaceX は日本時間 4 日、ケネディ宇宙センターから 通信衛星 Starlink 49 基を Falcon 9 ロケットで打ち上げた。
02/13 08:51
恐竜絶滅の原因が小惑星であったことはよく知られているが、天体力学理論上、地球と公転軌道を共有する小惑星(専門家は"地球のトロヤ群小惑星"と呼ぶ)が存在することは、あまり知られていない。
02/04 15:27
SF映画では、宇宙船のクルーがカプセルで冬眠するシーンをよく見かけるが、そんな光景が現実となる時代がもう間近に迫っている。
02/02 08:03
