関連記事
小惑星帯での隕石衝突、月との類似性は? 準惑星ケレスから推定 宇宙科学研究所

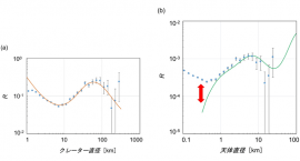
図(a): 準惑星ケレスの表面全体に存在するクレーターのサイズ頻度分布。青色の点がクレーターのサイズ頻度分布で、オレンジ色の曲線は、月から類推したクレーター生成関数モデル。図(b): ケレスへ衝突した隕石と観測される小惑星帯天体のサイズ頻度分布の比較。青色の点はケレスへ衝突した隕石の推定されるサイズ頻度分布、緑色の曲線は地上望遠鏡によって観測される小惑星帯天体のサイズ頻度分布。(画像: 宇宙科学研究所の発表資料より)[写真拡大]
月や地球には、小惑星の衝突でできたクレーターが多数存在する。そのクレーターに関して、直径サイズごとに度数分布を作成し、これまでに衝突した直径1km以上の小惑星のサイズ分布を推定する。するとそのサイズ分布は、火星と木星の公転軌道の中間に位置する小惑星帯を直接望遠鏡観測して作成した、実際の直径1km以上の小惑星のサイズ分布にほぼ一致することが知られている。
【こちらも】8億年前に多数形成された月のクレーター 地球での大絶滅も説明か 阪大の研究
一方で、直径サイズが1km以下の小惑星サイズ分布は、月や地球のクレーターサイズ分布から推定した結果と、望遠鏡による小惑星帯の直接観測結果には大きな違いがある。これまでなぜこのようなことが起きるのかは、謎のままであった。
JAXA宇宙科学研究所ではその謎を解明すべく、小惑星帯における最大サイズの準惑星ケレスで、クレーターサイズ分布の詳細分析を試み、その研究結果を14日に公開した。
準惑星ケレスは直径約1000kmで、地球の直径の約13分の1、月の約3.5分の1だ。現在小惑星帯に属している天体の中では、最も月に近い大きさである。月と準惑星ケレスは質量が一致するわけではないが、小天体に及ぼす引力の影響度では、準惑星ケレスは少なくとも地球よりも月に近い挙動を示すはずである。
今回公表された宇宙科学研究所の研究データによれば、準惑星ケレスにおけるクレーターサイズ分布は月のそれに非常によく似た傾向を示している。つまり小惑星帯に存在しているケレスからは、月と同様の小惑星サイズ分布が得られたが、実際に望遠鏡によって小惑星帯を直接観測した結果とは異なるという、悩ましい事実が判明したのだ。
実際には小惑星帯に存在する直径1km以下の天体の数は極めて少ないのだが、月やケレスにかつて衝突した直径1km以下の天体の数は、むしろ直径1km以上の天体よりも多い傾向にあったのだ。今回の報告ではその原因は謎で、これからの研究課題であるとしている。(記事:cedar3・記事一覧を見る)
スポンサードリンク
関連キーワード
