革新的超プロトン伝導体が燃料電池革命を起こしポストリチウム電池の本命に!SG研究所が画期的成果を発表
配信日時: 2025-04-09 14:00:00

独創的アイデアで社会を変えうる技術開発を行っている株式会社SG研究所(所在地:山形県山形市、代表取締役:佐々木 実)は、今最も注目を集めているクリーン水素技術の一つであり燃料電池などに使われるプロトン伝導体関連技術で画期的成果を得たので発表いたします。
■背景
プロトン伝導体は燃料電池などのクリーンエネルギー材料として用いられている重要な材料の一つであり、Nafionに代表される高分子材料や最近注目されている水和系ペロブスカイト型プロトン伝導体などがあります。いずれも解決すべき多くの課題があり、それらを解決した超プロトン伝導体が開発できたら、その適用範囲が現状より格段に向上するものと期待されます。
■研究結果について
*超プロトン伝導体材料創製
本研究では、高いプロトン伝導性を示しうる層状物質に注目しました。その層間にあるイオンをプロトンに置き換えるにあたり、層状構造の一部に欠陥を形成する事によりイオン伝導性を高める工夫をしました。その後、層間イオンをプロトンに置き換えて2種類のプロトン伝導体材料A及びBを創製しました。
画像1: https://www.atpress.ne.jp/releases/432077/LL_img_432077_1.jpg
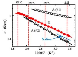
図1 開発した超プロトン伝導体材料A及びBのプロトン伝導特性
*超プロトン伝導性の確認
図1は、我社が開発した超プロトン伝導体材料A(黒印)及びB(赤印)のプロトン伝導特性を示しています(この図では、プロトン伝導度の対数を絶対温度Tの逆数に対してプロット)。材料Aに関しては、酸素欠陥量の多い材料A(#1)と少ない材料A(#2)の結果を示しています。いずれも、室温から200~300℃の中温領域まで極めて高いプロトン伝導性を示しています。
*既存の超プロトン伝導体に対する優位性
比較のために、現有材料で最高のプロトン伝導性を発揮するNafionの結果(室温のプロトン伝導度は0.1 S/cm程度)も参考のために青点線で示してありますが、材料A(#2)と材料Bは室温ではNafionと同程度のプロトン伝導性を示し、しかも200~300℃の中温領域でも高いプロトン伝導性を保てています。一方、材料A(#1)に至っては、室温でもNafionの10倍程度高いプロトン伝導性を示し(水和系ペロブスカイト型プロトン伝導体に対しては、数1,000倍から数10,000倍高いプロトン伝導性を示します)、これまで人類が発見したプロトン伝導体の中では世界最高のプロトン伝導度を示す超プロトン伝導体です。
■社会的インパクト
世界最高性能の超プロトン伝導性を示す超プロトン伝導体材料を創製・発見しました。室温から中温まで高いプロトン伝導度と高い化学的安定性を同時に示すこれらの材料を用いた燃料電池を作製できれば、現在実用化されている高分子燃料電池材料であるNafionにとって代わりえます。しかも、水和系ペロブスカイト型プロトン伝導体のような高価で希少な原料を必要とせず、特殊な設備を用いることなく製造できます。
このような理由から、燃料電池の小型化・高性能化・低価格化などが期待されます。また、リチウム電池に代わる安全で高パワー密度・高寿命かつ安価な2次電池などへの応用も見込まれます。こうした点から、本研究の成果は、新しいクリーンエネルギー技術と持続可能な社の実現に貢献し、エネルギー・環境問題を解決するという社会的インパクトがあるといえます。
■今後の展開
既存の層状物質を用いて非水和系層状プロトン伝導体を創製できた事と高性能プロトン伝導体の設計戦略という視点で各種層状物質を用いたプロトン伝導体の創製に関する基本技術を実証したことには大きなインパクトがあります。今後、このような研究開発がさらに活発になると考えられます。
■会社概要
商号 : 株式会社SG研究所
代表者 : 代表取締役 佐々木 実
所在地 : 〒990-0828 山形県山形市双葉町1丁目3-15-1103
設立 : 2019年9月
事業内容: 次世代型エネルギー関連装置の研究開発
資本金 : 750万円
特許等 : 関連国際特許 1件取得済、関連国内特許 1件出願中、
その他国際特許 1件取得済、国際/国内特許 2件出願中
URL : https://espg.dev/sglab
詳細はこちら
プレスリリース提供元:@Press
スポンサードリンク
「技術・テクノロジー」のプレスリリース
スポンサードリンク
最新のプレスリリース
- OpenWorldとFigure Technology Solutions、FigureのOPENネットワーク上でOpenWorldの有価証券のトークン化を推進へ05/05 21:57
- 母の日のギフトはPREMIUM「白苺」ショートで決まり!母の日を過ぎたら終売です。京都【パティスリー洛甘舎】05/05 21:00
- オムディア(Omdia)、2035年までにセルラーIoTデータトラフィックが218.6エクサバイトに到達すると新調査で発表05/05 18:10
- コミュニティ発「信長デイトナ」ロゴTシャツ、Amazonで販売開始/多岐にわたる事業を展開する実業家、野村直生氏が装着体験を実施05/05 17:45
- オムディア(Omdia)、中国本土のクラウドインフラ支出が2025年Q4に26%増、AI需要とエージェント拡大が牽引と発表05/05 16:41
- 最新のプレスリリースをもっと見る
