大阪大学の山本雅裕教授らによる研究グループは、トキソプラズマ症重症化は病原性因子GRA6によって宿主の免疫制御分子NFAT4を活性化し、宿主自然免疫細胞を強制的に利用(ハイジャック)することで引き起こされていることを明らかにした。
09/18 17:20
理化学研究所の付英双(フ・インシュアン)国際特別研究員らによる研究グループは、トポロジカル絶縁体の表面に形成されるディラク電子の空間分布測定に成功した。
09/16 22:33
理化学研究所などによる研究グループは、ジャガイモに含まれる食中毒の原因物質α-ソラニンやα-チャコニンの生合成に関わる酵素遺伝子を発見した。
09/16 20:30
理化学研究所は、ヒトの頭皮から採取した毛根の細胞には脳の細胞と共通する遺伝子が発現しており、統合失調症などの精神疾患の早期診断を補助するバイオマーカーとしれ利用できる可能性があることを明らかにした。
09/16 00:20
日本・ロシア・アメリカによる研究グループは、ネムリユスリカのゲノム解析を共同でおこない、極限的な乾燥耐性をもたらす遺伝子多重化領域と乾燥時特有の遺伝子発現調節機構を発見することに成功した。
09/16 00:12
生理学研究所の石川理子研究員・吉村由美子教授らによる研究グループは、脳にある視覚野の神経回路発達には、生後の正常な視覚体験が必要であることを明らかにした。
09/12 14:27
東京大学の玉宮義之特任研究員・開一夫教授らによる研究グループは、暴力的なテレビゲームで長期間遊んだ時の長期的な影響を明らかにした。
09/12 14:12
名古屋大学の渡邊征爾助教らによる研究グループは、サーチュイン(SIRT1)と呼ばれる酵素を脳で働かせることで、筋萎縮性側索硬化症(ALS)の延命効果が得られることを明らかにした。
09/11 18:10
アメリカの医学分野で最も権威があり、ノーベル賞の登竜門と言われるラスカー賞(基礎医学部門)の本年度の受賞者に、森和俊京都大学大学院教授(56)が選ばれた。
09/11 08:18
国立精神・神経医療研究センターの三島和夫部長らによる研究グループは、アミノ酸置換を伴う時計遺伝子PER3の違いが概日リズム睡眠障害の発症に関連していることを明らかにした。
09/10 23:03
東北大学の中里信和教授らによる研究グループは、海馬に異常をもつ側頭葉てんかん患者において、右側の側頭葉から発作が始まる場合にのみ脳波変化よりも早く心拍が上昇し始めることを明らかにした。
09/08 19:37
大阪大学の高見剛助教・川村和司技術職員らによる研究グループは、自己組織化を利用することで、2つの分子が1次元方向に連なった新物質1次元2量体を合成することに成功した。
09/06 17:33
東北大学の寒川誠二教授・肥後昭男助教らによる研究グループは、高均一・高密度・無欠陥の6層積層した3次元ガリウム砒素/アルミニウムガリウム砒素量子ドットを作製することに世界で初めて成功した。
09/05 13:46
大阪大学の寺澤匡博特任研究員・篠原美紀准教授らによる研究グループは、細胞の分裂期に限っては、DNA修復機構がゲノムDNAを破壊してしまうことを明らかにした。
09/04 22:57
自然科学研究機構生理学研究所の小松英彦教授・西尾亜希子研究員らによる研究グループは、脳がどのような情報を元にして光沢を評価しているのかを明らかにした。
09/04 22:49
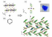
理化学研究所の侯召民(こうしょうみん)グループディレクター・島隆則上級研究員らによる研究グループは、多金属のチタンヒドリド化合物を用いることで、ベンゼン環の炭素-炭素結合を室温で切断することに成功した。
09/03 18:58
東京大学の渡部雅浩准教授・木本昌秀教授らによる研究グループは、全球気候モデルによるシミュレーションによって、地球温暖化の停滞要因を明らかにした。
09/02 17:32
東北大学大学院生命科学研究科の谷本拓教授 (脳機能解析構築学講座) らの研究グループは、色の記憶はショウジョウバエの脳内で、匂いの記憶と同様の細胞ネットワークによって処理されることを発見したと発表した。
09/02 11:45
九州大学の山崎晶教授らによる研究グループは、Dectin-2と呼ばれるタンパク質が、結核菌特有の成分を認識して、免疫系を活性化することを発見した。
09/01 17:34
大阪大学の橋本亮太准教授らによる研究グループは、「αキメリン」というタンパク質が学習能力の発達に関わっていることを明らかにした。
08/31 22:12
岡山大学の工藤値英子助教・高柴正悟教授らによる研究グループは、歯周病細菌の一つであるポリフィロモナスジンジバリス菌に対する免疫抗体が多い患者は、動脈硬化に関わる悪玉コレステロールの値が高いことを明らかにした。
08/30 17:27
理化学研究所は、神経細胞群を光で操作することで、「嫌な出来事の記憶」を「楽しい出来事の記憶」に置き換えることに成功し、その時の神経メカニズムを明らかにした。
08/30 16:48
