[写真]小惑星帯での隕石衝突、月との類似性は? 準惑星ケレスから推定 宇宙科学研究所
2022年3月16日 11:23
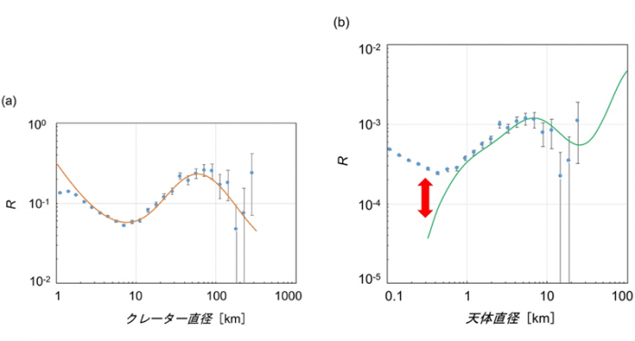
図(a): 準惑星ケレスの表面全体に存在するクレーターのサイズ頻度分布。青色の点がクレーターのサイズ頻度分布で、オレンジ色の曲線は、月から類推したクレーター生成関数モデル。図(b): ケレスへ衝突した隕石と観測される小惑星帯天体のサイズ頻度分布の比較。青色の点はケレスへ衝突した隕石の推定されるサイズ頻度分布、緑色の曲線は地上望遠鏡によって観測される小惑星帯天体のサイズ頻度分布。(画像: 宇宙科学研究所の発表資料より)
スポンサードリンク













