関連記事
ツキノワグマは秋に1年分のドングリを食いだめする 東京農工大などの研究

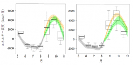
ツキノワグマのエネルギー収支の季節変化。(画像:東京農工大学発表資料より)[写真拡大]
熊の人里への出没は我が国では大きな問題である。熊が人里に下りてくる契機としてドングリの凶作があるということは知られていたが、熊が普段どのようなエネルギー収支で暮らしているのかは未知であった。今回の研究は、東京農工大学と東京農業大学による、ツキノワグマの摂食・栄養サイクルの解明である。
【こちらも】クマが樹上のドングリを食べる行動は理に叶っている―東京農工大の研究
日本には2種類の熊がいる。北海道に生息するヒグマと、津軽海峡以南に生息するツキノワグマだ。開発によって生息域を減らしているとよく言われるが、環境省の調査では、現在なお本州の約45%の領域にツキノワグマは生息しているという。
ツキノワグマは雑食であるが、春から夏にかけては果実や昆虫、秋にはドングリを主に食べる。ちなみにドングリというのはブナ類やナラ類の実の総称である。
今回の研究は、2005年から2014年にかけ、栃木県と群馬県にまたがる足尾・日光山地において、34頭のツキノワグマ成獣に日々の活動を計測できるGPS受信機を装着し、その生態を調査したものである。また、山の中で採取した1,247個のツキノワグマの糞の分析、採食行動の映像(113時間分)の分析も行われた。
結論として、全ての個体において、春から夏にかけてエネルギー収支はマイナスであるが、秋には大きくプラスになるということが判明した。ただし、ドングリが凶作の年は、エネルギー摂取量が減少してエネルギー収支は低下した。
春や夏のツキノワグマの餌はあまり採集効率のいいものではない。だが、ドングリは木の上にまとまって結実するため、ツキノワグマは木に登って効率的にドングリを食べることができる。そのため、ツキノワグマのエネルギー収支は大きく秋に、そしてドングリに依存しているということが明らかになったのである。
以上の事実から、ある年にドングリの凶作があった場合、少なくとも翌年の夏まではツキノワグマの人里への出没が頻発し得るということも分かった。
なお、研究の詳細は、Ecosphereに掲載されている。(記事:藤沢文太・記事一覧を見る)
スポンサードリンク
関連キーワード
