IT・サイエンス
2019年10月18日 13:12
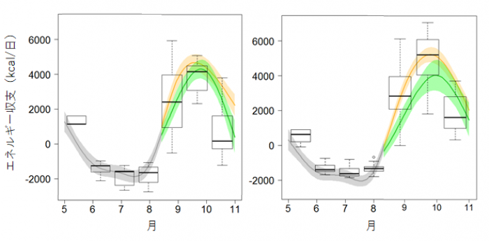
ツキノワグマのエネルギー収支の季節変化。(画像:東京農工大学発表資料より)
スポンサードリンク
社会的に重要な位置にいるサルほど、自制心が強い 京大の研究
スギ科の植物が白亜紀末の大絶滅を生き延びた理由は? ヒント発見か 北大
デンキウナギの放電で周囲の生物に遺伝子の組み換え発生か 名大ら
キノコの菌糸ネットワーク使い植物間でシグナル伝達か 京大らの研究
ヤドカリの家を「建て増し」する新種のイソギンチャク 東大などの研究
ネコは親しい相手の名前を聞き分けられる 京大の研究
植物はなぜ雨に打たれると免疫を活性化するのか 仕組みを解明 名大
最古の家禽はガチョウだった? 7000年前の痕跡、北大などの研究
幻の花ラフレシアの新たな自生地を発見 国立環境研究所などの研究
東京都内でカタツムリに寄生する新種の寄生虫を発見 東邦大の研究
新種の寄生甲殻類、「オシリカジリムシ」と命名 鹿児島大の研究
廃タイヤが幽霊漁業でヤドカリを捕食 弘前大の研究