関連記事
北大、原子核の副虹を世界で初めて発見
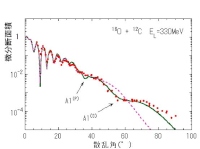
北海道大学の平林善治准教授らによる研究グループは、酸素原子核を炭素原子核に衝突させることで、原子核の虹に副虹ができていることを世界で初めて発見した。
雨上がりに見える虹のように、原子核に粒子を衝突させた時も虹のような現象が起きるが、雨粒のように内部反射は起きないため、副虹(2番目の虹)は発生しないと考えられていた。
今回の研究では、300メガ電子ボルト前後のエネルギーで、酸素原子核を炭素原子核に衝突させたところ、散乱角70度付近で副虹と見られる新しい虹が発生していることが分かった。この副虹は、空にできる虹(気象虹)と違い、反射によって現れたものではなく、強い核力によって引き起こされている。
この研究成果は、原子核構造のさらなる解明に役立つと期待されている。
スポンサードリンク


