[写真]大阪市立大、睡眠障害の治療が糖尿病の血糖改善や血管障害防止に有効であることを解明 (2)
2015年4月15日 11:13
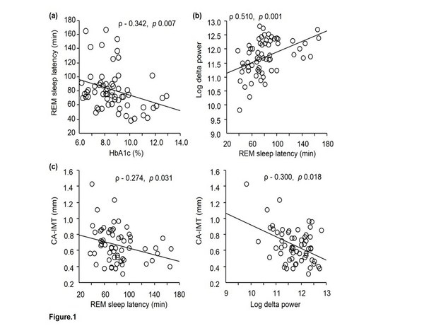
睡眠指標(レム睡眠潜時、ログデルタパワー)とHbA1c・頸動脈内膜中膜肥厚度との相関を示す図。血糖コントロール指標「HbA1c」は、睡眠時無呼吸症候群の指標である無呼吸・低呼吸インデックス(AHI)と独立してREM睡眠潜時と有意の負の関連を示した。これは、血糖コントロール増悪を示すHbA1cの上昇が、深睡眠指標であるレム睡眠潜時の短縮をもたらすことを示唆する結果だった。(大阪市立大の発表資料より)
スポンサードリンク














