理研、幹細胞が多能性を持つ仕組みの解明へ前進

2014年4月30日 17:58

印刷

CAGE法で決定したRNA配列を既知のレトロトランスポゾンと比較し、分類したグラフ。

CAGE法で決定したRNA配列を既知のレトロトランスポゾンと比較し、分類したグラフ。[写真拡大]

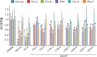
  • NASTの機能阻害により発現が抑制された多能性マーカー遺伝子
  • 哺乳類の進化において、レトロウイルスの感染とレトロトランスポゾンの活発な転移がしばしば生じたと考えられている。現存生物には、その残骸がゲノムの広範囲にわたって存在しており、その一部はタンパク質をコードしないncRNAとして発現している。その中でもNASTsは、幹細胞の性質の制御に関わっている可能性がある。

 理化学研究所のピエロ・カルニンチらは、細胞内の全RNAを解析し、これまで知られていなかったRNA「...

この記事は、会員のみが閲覧可能です。続きを読みたい場合は、ログインしてから閲覧してください。会員登録がまだの方は、会員登録(7日間無料)を行った後、閲覧可能となります。

関連記事